PRODUCT


销售一部:0531-88760590
销售二部:0531-88786527
宁经理:18853131830, 15553139909
王经理:18615581926
工厂地址: 济南高新区孙村镇大正路与世纪大道交叉口东50米
销售地址:山东省济南市高新区联合财富广场1号楼907

产品类别:有机磷酸(盐)系列
发布日期:2021-04-07 16:51:15
责任编辑:betvlctor伟德1946环保
CAS No. 34690-00-1
别名:二己烯三胺五亚甲基膦酸、二亚已基三胺五亚甲基磷酸
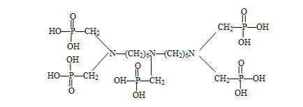
分子式 C17H44O15N3P5 相对分子质量:685
结构式 
一、性能与用途
BHMTPMPA是高效的螯合型阻垢剂,对碳酸盐垢和硫酸盐垢具有良好的阻垢效果。 BHMTPMPA在较宽的PH范围和120℃高温下有较好的水溶性和热稳定性,对钙离子容忍度高。BHMTPMPA用作油田水处理的缓蚀阻垢剂,工业循环冷却水和锅炉水的阻垢缓蚀剂。
二、技术指标 符合HG/T 22591-2008
项 目 | 指 标 |
GB/T 22591-2008 | |
外 观 | 深琥珀色液体 |
活性组分/% | 45.0~50.0 |
亚磷酸(以PO33-计)/% | ≤3.5 |
氯化物(以Cl-计)/% | ≤6.0 |
pH(1%水溶液) | ≤2.0 |
密度(20℃) /g·cm-3 | ≥1.20 |
Fe含量(以Fe计) /mg·L-1 | ≤35.0 |
三、使用方法
单独使用或与聚羧酸型阻垢分散剂配合使用。
四、包装与贮存
BHMTPMPA用塑料桶包装,每桶25kg或根据用户需要确定。BHMTPMPA贮于室内阴凉处,贮存期为十二个月。
五、安全防护
BHMTPMPA为酸性,操作时注意劳动保护,应避免与皮肤、眼睛等接触,接触后用大量清水冲洗。